도움이 되셨다면, 광고 한번만 눌러주세요. 블로그 관리에 큰 힘이 됩니다 ^^
단위근 검정은 MA 모형과는 상관이 없고 AR이 포함된 모형 과 연관이 있다.
이러한 AR 모형이 있으면 AR모형은 정상성조건을 만족시켜야 하는데,

의 모든 근의 절대 값이 1보다 커야 한다.
만약 이 근이 1보다 크지 않은 근이 존재하면 -> 비정상 확률과정 이라고 한다.
만약 이 근중에서 크기가 1인 근이 있으면 그 근을 단위근(unit root) 라고 한다.
단위근의 존재는 그림으로 확인하기가 어렵다 ARIMA(1 ,1, 1,) 와 ARMA(1,1) 를 구별하기 어렵다
-> 그래서 단위근검정을 통해서 검정을 통해 -> 차분을 하여 정상성조건을 만족시켜서 - > 정상성을 만족하는 확률과정으로 바꾼다.

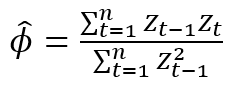
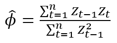
-> 단위근 검정 통계량이다. LSE
인 경우

만족한다.
하지만 단위근이 존재하는 경우
중심극한정리(CLT)가 성립되지 않아 -> 점근적 분포를 구할 수 없다
흔히 통계에서 쓰는 이론을 사용할 수가 없다.
그래서 해결 방법으로

식에서
으로 바꿔줘서 점근적분포를 얻을 수 있다.

의 점근적 분포를 이용하여

검정하는 것을 Dickey-Fuller 단위근 검정이다.
귀무가설이 단위근이 있다 이고 대립가설이 정상성을 만족한다이므로 귀무가설을 기각해야만 정상성을 만족한다(P-VALUE)
부분에 대해선 하지 않은 이유는 그런 부분은 나타나지 않아서 처음부터 고려하지 않는 것이다!

을 이용한 점근적인 성질이 실제 모형과 적합모형에 따라 다르게 따르므로 자료의 성질을 잘 파악해서 검정법을 택해야 한다
1. zero mean 인 경우
2. single mean 인 경우
3. trend 가 있는 경우 (trend 가 있다는 것은 추세가 있다는 것인데 만약 고려 안해주면 단위근이 있다는 식으로 나온다 (이것이 잘못된 판별법이다))
1, 2 번은 2번 single mean 에서 mean 이 0 인 경우를 같이 포함하는 실제론 2 번과 3번을 고려해주면 된다.
그래서 간단하게 그림을 보고 추세가 있다 -> 3번 / 추세가 없다 -> 2번 을 선택해 주면 된다.
주의할 것은 여기서의 추세는 결정적추세에서만이다 (확률적추세에서는 옳지 않은 방법이라 한다)
앞에서 나온 Dickey-Fuller 단위근 검정 AR(1) 에 적합한 것인데 이것을 확대한 것이 ADF(augmented Dickey-Fuller ) 단위근 검정이다.(AR(P) 적합)
만약 ADF 검정을 했는데도 단위근이 있으면 차분을 한번 더해줘야 하거나 아니면 계절성을 의심하면 된다.
다른 방법으로는 PP검정도 있다.
'ML(머신러닝) > Time Series' 카테고리의 다른 글
| 계절형 자기회귀 이동평균모형(SARIMA) (0) | 2018.04.09 |
|---|---|
| ARIMA 모형의 적합 (0) | 2018.03.25 |
| 비정상 자기회귀 이동평균 과정 (0) | 2018.03.20 |
| 정상 자기회귀 이동평균 과정 (0) | 2018.03.20 |
| 시계열 자료 (0) | 2018.03.20 |