목차

개념
가끔 보면 einsum을 홍보하는 글을 보거나 코드에서 본 것 같다.
처음에는 대수롭지 않게 생각을 했는데, 좀 더 자세히 보니 매력적인 부분이 많은 것 같아 알아보려고 한다.
특히 매력적인 부분은 이것만 알고 있으면 numpy , pytorch, tensorflow 다 동일하게 적용할 수 있다는 점이다.
선형 대수학은 딥러닝 분야에서 근본적인 역할을 하는데, 아직까지는 춘추전국시대라서 통일된 라이브러리가 없고 계속 생겨나는 시점이라 이럴수록 하나로 통일해주는 것을 배우면 좋을 것 같다고 생각했다.
그리고 잘만쓰면, 복잡한 연산도 쉽게 구현할 수 있는 것 같아서 좋은 것 같다.
einsum 연산을 통해서, 행렬 내적, 외적, 내적, 행렬곱 등을 동일한 형태로 할 수 있다는 것이 참 매력적인 부분이다.


einstein 표기법과 einsum 함수로 다 동일한 포맷으로 할 수 있다.
np.einsum(equation, *operands)
torch.einsum(equation, *operands)
tensorflow.einsum(equation, *operands)

- equation
- operand의 각 index에 대응하는 소문자로 구성되는 식입니다.
- -> 기준 왼쪽
- operands 의 차원을 연결하는 부분
- `,` 를 기준으로 구분됨
- -> 기존 오른쪽
- output의 차원 인덱스
- 생략되는 경우는 한번만 언급된 알파벳들을 순서대로 나열한 것으로 내부적으로 정의된다고 함.
- 예시
- ni, ij -> nj
- i가 index에 해당
- $\sum_i A_{ni} B_{ij}$
- ni, ij -> nj
- operands(tensor)
- 연산을 수행할 대상들
- 1개, 2개 3개 이상도 가능함.
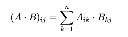
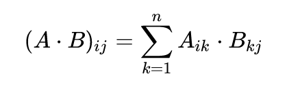
아래 그림처럼 돌아간다고 생각하면 될 것 같다!

예시
## check 함수
def simple_check_eisum(equation: str, operands , np_function_result):
print(equation)
print(operands)
assert np.allclose(np.einsum(equation,*operands), np_function_result), "Numpy result is different from np function result"
print(np.einsum(equation,*operands))
최대한 numpy를 사용할 때와 einsum을 사용한 것과 함수 차이를 비교해보고자 한다.
Transpose
$A_{i, j}=B_{j, i}$
mat2d = np.random.uniform(size=[2,2])
print(mat2d)
np.allclose(np.einsum("ij->ji",mat2d) , np.transpose(mat2d,(1,0)))
$A_{i, j, k}=B_{k, j, i}$
mat3d = np.random.uniform(size=[2,2,2])
print(mat3d)
np.einsum("ijk->kji",mat3d)
np.allclose(np.einsum("ijk->kji",mat3d) , np.transpose(mat3d,(2,1,0)))
np.allclose(np.einsum("ijk->jik",mat3d) , np.transpose(mat3d,(1,0,2)))
Trace
$\sum_i C_{i,i}$
mat2d = np.random.uniform(size=[2,2])
np.allclose(np.einsum("ii",mat2d) , np.trace(mat2d))
Summation
$b=\sum_i \sum_j A_{i, j} = A_{i, j}$ (ij->)
$b_i=\sum_j A_{i,j} = A_{i,j}$ (ij->i)
$b_j=\sum_i A_{i,j} = A_{i,j}$ (ij->j)
mat2d = np.random.uniform(size=[2,2])
simple_check_eisum("ij->",[mat2d],np.sum(mat2d))
simple_check_eisum("ij->i",[mat2d],np.sum(mat2d,axis=1))
simple_check_eisum("ij->j",[mat2d],np.sum(mat2d,axis=0))
MATRIX VECTOR MULTIPLICATION
$c_i = \sum_j A_{i, j} B_j = A_{ij} B_j$ (ij, j->i)
test_matrix = np.arange(6).reshape([2,3])
test_vector = np.arange(3)
np.einsum("ij,j->i",*[test_matrix, test_vector])
simple_check_eisum("ij,j->i",[test_matrix, test_vector],np.dot(test_matrix,test_vector))
test_matrix_1 = np.arange(6).reshape([2,3])
test_matrix_2 = np.arange(3)
simple_check_eisum("ij,jk->ik",[test_matrix_1, test_vector_1[:,np.newaxis]],np.matmul(test_matrix_1, test_vector_1[:,np.newaxis]))
MATRIX MATRIX MULTIPLICATION
$c_{ij} = \sum_k A_{i, k} B_{k, j} = A_{ik} B_{kj}$ (ik, kj->ij)
test_matrix = np.arange(6).reshape([2,3])
test_vector = np.arange(3)
simple_check_eisum("ik,kj->ij",[test_matrix, test_matrix.T],np.dot(test_matrix , test_matrix.T))
$c_{ij} = \sum_k a_ik b_kj$
test_matrix_1 = np.arange(6).reshape([2,3])
test_matrix_2 = np.arange(12).reshape([3,4])
simple_check_eisum("ij,kj->ik",[test_matrix_1, test_matrix_2],np.matmul(test_matrix_1 , test_matrix_2 ))
$c_{ij} = \sum_k a_ik b_jk^T$
test_matrix_1 = np.arange(6).reshape([2,3])
test_matrix_2 = np.arange(12).reshape([4,3])
simple_check_eisum("ij,kj->ik",[test_matrix_1, test_matrix_2],np.matmul(test_matrix_1 , np.transpose(test_matrix_2,(1,0))))
DOT PRODUCT
(Vector)
$c = \sum_i A_{i} B_{i} = A_{i} B_{i}$ (i, i->)
test_vector_1 = np.arange(1,4)
test_vector_2 = np.arange(3,6)
simple_check_eisum("i,i->",[test_vector_1, test_vector_2],np.sum(test_vector_1 * test_vector_2))
(Matrix)
$c = \sum_i \sum_j A_{ij} B_{ij} = A_{ij} B_{ij}$ (ij, ij->)
test_mat_1 = np.arange(6).reshape(2, 3)
test_mat_2 = np.arange(6,12).reshape(2, 3)
simple_check_eisum("ij,ij->",[test_mat_1, test_mat_2],np.sum(test_mat_1 * test_mat_2))
OUTER PRODUCT
$c_{i, j} = a_i b_j$ (i, j->ij)
simple_check_eisum("i,j->ij",[test_vector_1, test_vector_2],test_vector_1[:,np.newaxis] * test_vector_2[np.newaxis,:])
$c_{j, i} = (a_i b_j). T$ (i, j->ji)
simple_check_eisum("i,j->ji",[test_vector_1, test_vector_2],test_vector_2[:,np.newaxis] * test_vector_1[np.newaxis,:])
HADAMARD PRODUCT
$c_{i, j} = (a_i b_j)$ (i, j->ij)
test_matrix_1 = np.arange(6).reshape([2,3])
test_matrix_2 = np.arange(6).reshape([2,3])
simple_check_eisum("ij,ij->ij",[test_matrix_1, test_matrix_2],test_matrix_1*test_matrix_2)
$c_{j, i} = (a_i b_j).T$ (i, j->ji)
simple_check_eisum("ij,ij->ji",[test_matrix_1, test_matrix_2],(test_matrix_1*test_matrix_2).T)
Batch Matrix Multiplication
$c_{ijl} = \sum_k A_{ijk} B_{ikl} = A_{ijk} B_{ikl}$ (ijk, ikl->ikl)
import torch
i, j, k, l = 2, 1, 2, 3
test_matrix_1 = np.random.uniform(size=(i,j,k))
test_matrix_2 = np.random.uniform(size=(i,k,l))
print(test_matrix_1.shape , test_matrix_2.shape)
simple_check_eisum("ijk,ikl->ijl",[test_matrix_1, test_matrix_2],np.matmul(test_matrix_1 , test_matrix_2))
simple_check_eisum("ijk,ikl->ijl",[test_matrix_1, test_matrix_2],torch.bmm(torch.tensor(test_matrix_1), torch.tensor(test_matrix_2)).numpy())
test_matrix_3d = np.ones((3, 3, 3))
test_matrix_2d = np.random.randint(0, 10, (3, 3))
simple_check_eisum("BNi,Bi->BN",[test_matrix_3d, test_matrix_2d],np.matmul(test_matrix_3d, test_matrix_2d[:, :, None]).squeeze(-1))
simple_check_eisum("BNi,Bi->BN",[test_matrix_3d, test_matrix_2d],(test_matrix_3d @ test_matrix_2d[:, :, None]).squeeze(-1))
test_matrix_3d = np.ones((3, 3, 3))
test_matrix_2d = np.random.randint(0, 10, (3, 1))
simple_check_eisum("Bkj,Bl->Bjl",[test_matrix_3d, test_matrix_2d],np.matmul(test_matrix_3d,np.tile(test_matrix_2d,3)[:,:,None]))
Bilinear Transformation
i,j,k,l = 2,3,2,2
test_matrix_1 = np.random.uniform(size=(i,k))
test_matrix_2 = np.random.uniform(size=(i,l))
np.einsum("ik,jkl,il->ij",*[test_matrix_1 , X , test_matrix_2])
i,j,k,l = 2,3,2,2
test_matrix_1 = np.random.uniform(size=(i,k))
X = np.random.uniform(size=(j,k,l))
np.einsum("ik,jkl->ijl",*[test_matrix_1 , X ])
MultiHead Attention
batch_size, sequence_length, hidden_size, num_head = 2, 10, 16, 8
hidden_states = np.random.uniform(size=(batch_size, sequence_length, hidden_size))
hidden_states.shape # (2,10,16)
W_K = np.random.uniform(size=(hidden_size, hidden_size))
W_Q = np.random.uniform(size=(hidden_size, hidden_size))
W_V = np.random.uniform(size=(hidden_size, hidden_size))
head_hidden_size = hidden_size // num_head
print(head_hidden_size) ## 2
Q = np.einsum("ijk,kl->ijl",*[hidden_states, W_Q]) # [batch_size, sequence_length, hidden_size]
K = np.einsum("ijk,kl->ijl",*[hidden_states, W_K])
V = np.einsum("ijk,kl->ijl",*[hidden_states, W_V])
print(Q.shape) # (2, 10, 16)
print(np.reshape(Q,[batch_size,sequence_length,num_head,head_hidden_size]).shape)
Q = np.reshape(Q, [batch_size, sequence_length, num_head, head_hidden_size]) # [batch_size, sequence_length, num_haed, head_hidden_size]
K = np.reshape(K, [batch_size, sequence_length, num_head, head_hidden_size]) # [batch_size, sequence_length, num_haed, head_hidden_size]
V = np.reshape(V, [batch_size, sequence_length, num_head, head_hidden_size])
# (2,10,8,2)
Q = np.einsum("ijkl->ikjl",Q) # [batch_size, num_haed, sequence_length, head_hidden_size]
K = np.einsum("ijkl->ikjl",K)
V = np.einsum("ijkl->ikjl",V)
# (2,8,10,2)
attention_score = np.einsum("ijkl,ijml->ijkm", Q, K)/np.sqrt(hidden_size) # [batch_size, num_haed, sequence_length, sequence_length]
attention_score.shape #(2,8,10,10)
attention_result = np.einsum("ijkl,ijlm->ikjm", attention_score, V) # [batch_size, sequence_length, num_head, head_hidden_size]
attention_result.shape # (2,10,8,2)
attention_result = np.reshape(attention_result, [batch_size, sequence_length, hidden_size])
attention_result.shape # (2,10,16)
MultiHead Attention (+einops) (head 1개인 경우)
!pip install einops
import torch
from einops import rearrange
from torch import nn
# b = 2 , t(token)= 128, dim=512 , 3 = (q,v,k)
dim=512
x = torch.randn(2,128,512)
to_qvk = nn.Linear(dim, dim * 3, bias=False) # init only
qkv = to_qvk(x) # [batch, tokens, dim*3 ]
# decomposition to q,v,k
q, k, v = tuple(rearrange(qkv, 'b t (d k) -> k b t d ', k=3))
scale_factor = np.sqrt(dim)
scaled_dot_prod = torch.einsum('b i d , b j d -> b i j', q, k) * scale_factor
attention = torch.softmax(scaled_dot_prod, dim=-1)
attention_result = torch.einsum('b i j , b j d -> b i d', attention, v)
attention_result.shape # (2,128,512)
MultiHead Attention (+einops) (head 여러 개인 경우)
좀 더 간단하게 구현할 수 있다는 장점이 있음
# b = 2 , t(token)= 128, dim=512 , 3 = (q,v,k)
dim=512
heads=8
x = torch.randn(2,128,512)
_dim = heads * dim
to_qvk = nn.Linear(dim, dim * heads * 3, bias=False) # init only
qkv = to_qvk(x)
q, k, v = tuple(rearrange(qkv, 'b t (d k h) -> k b h t d ', k=3, h=heads))
print(q.shape) # [2, 8, 128, 512] [b,heads,token,dim]
scale_factor = np.sqrt(dim)
scaled_dot_prod = torch.einsum('b h i d , b h j d -> b h i j', q, k) * scale_factor [b,heads,token,token]
# if mask is not None:
# assert mask.shape == scaled_dot_prod.shape[2:]
# scaled_dot_prod = scaled_dot_prod.masked_fill(mask, -np.inf)
attention = torch.softmax(scaled_dot_prod, dim=-1)
out = torch.einsum('b h i j , b h j d -> b h i d', attention, v) [b,heads,token,dim]
out = rearrange(out, "b h t d -> b t (h d)") [b,token, heads*dim]
W_0 = nn.Linear( _dim, dim, bias=False) # init only
# Step 6. Apply final linear transformation layer
out = W_0(out) [b,token, dim]
out.shape
Reference
'꿀팁 분석 환경 설정 > Python' 카테고리의 다른 글
| Sphinx) 이미지에 URL 넣기 (0) | 2022.02.05 |
|---|---|
| vscode, colab) ipynb 파일을 html 파일로 바꾸기 (0) | 2022.01.31 |
| tqdm, clear_output 같이 사용하는 방법 (0) | 2021.10.05 |
| git add 시 파일 취소 방법 (0) | 2021.09.10 |
| NoSuchDisplayException: Cannot connect to "None" 해결하기 (1) | 2021.09.08 |